Задача точного построения по правилам классической геометрии правильных многоугольников с нечетным числом сторон путем деления данной окружности на заданное число равных частей до сих пор считалась принципиально неразрешимой. Все применяемые в настоящее время способы такого построения правильных многоугольников, начиная с пятиугольника, являются приближенными. Точное построение правильных многоугольников по таблице хорд выходит за рамки классической геометрии.
Здесь предлагаются способы точного деления данной окружности с центром в точке О на заданное число равных частей по правилам классической геометрии, то есть с помощью простой линейки, не имеющей шкалы, и циркуля, и последующего построения соответствующих правильных многоугольников. При решении задачи разделения данной окружности на заданное число частей вполне допустимо выполнение вспомогательных построений вне этой окружности; этот принцип здесь применяется.
При описании построения правильных многоугольников и приведении доказательств здесь используются аксиомы и теоремы классической геометрии в формулировках и в нумерации, принятых в книге автора [1].
1. Точное построение правильного треугольника
Построение: На окружности берем некоторую точку А0. Проводим вспомогательную окружность с центром в точке А0 и радиусом А0О, то есть радиусом, равным радиусу данной окружности; вспомогательная окружность пересекает данную в точках А1 и А2. Проводим дугу окружности с центром в точке А2 и радиусом А1А2, точку ее пересечения с данной окружностью обозначим через А3. Соединяем отрезками точки А1, А2 и А3, получается равносторонний треугольник А1А2А3 (Рис. 1).


Доказательство: По теореме 5.2.3. о перпендикулярности линии центров общей хорде, отрезок А0О перпендикулярен отрезку А1А2, точку их пересечения обозначим через Р. Значит, отрезок ОР является высотой треугольника А1ОА2, отрезок А0Р является высотой треугольника А1А0А2. Радиус вспомогательной окружности равен радиусу данной:
,
, следовательно,
по трем сторонам (Ах. 8.5.3.). Тогда высоты этих треугольников равны по аксиоме о равенстве фигур (Ах. 6.8.):
. Следовательно,
. По теореме 8.12.5. о равенстве p/3 в прямоугольном треугольнике угла, прилежащего катету, в два раза меньшему гипотенузы, в прямоугольном треугольнике А1ОР (Def. 8.3.3.):
.
по трем сторонам (Ах. 8.5.3.), следовательно,
по аксиоме о равенстве фигур (Ах. 6.8.). Значит центральный угол (Def. 5.6.) А1ОА2 равен
.
по трем сторонам (Ах. 8.5.3.), следовательно,
по аксиоме о равенстве фигур (Ах. 6.8.). По определению дополнительных углов (Def. 4.15.):
.
, тогда
по двум сторонам и углу между ними (Ах. 8.5.1.), следовательно,
. Треугольник А1А2А3 является равносторонним (Def. 8.4.3.), что и требовалось доказать.
.gif)

2. Точное построение правильного четырехугольника
Построение: Проводим диаметр окружности А1А3. Проводим диаметр А2А4, перпендикулярный диаметру А1А3 (Рис. 2). Соединяем отрезками четыре точки, получается квадрат А1А2А3А4.

Доказательство: По теореме 5.7.5.: углы А1А2А3 и А1А4А3, опирающиеся на диаметр окружности А1А3, являются прямыми; углы А2А3А4 и А2А1А4, опирающиеся на диаметр А2А4, являются прямыми. Значит, четырехугольник А1А2А3А4 является прямоугольником (Def. 9.2.). По теореме 9.5.2. о равенстве и перпендикулярности диагоналей в параллелограмме, четырехугольник А1А2А3А4 является квадратом (Def. 9.3.), что и требовалось доказать.


3. Точное построение правильного пятиугольника
Построение: Проводим диаметр окружности А0А4 (Рис. 3). Осуществляем золотое сечение отрезка А0А4. На луче с от точки С1 откладываем отрезок, равный отрезку А0А4, конец отрезка обозначаем через С2 (Рис. 4). Из точки С2 восставляем перпендикуляр п к лучу с. На прямой п от точки С2 откладываем отрезок, равный половине отрезка С1С2, конец отрезка обозначаем через С3. Соединяем отрезком точки С1 и С3. На отрезке С1С3 от точки С3 откладываем отрезок, равный половине отрезка С1С2, конец отрезка обозначаем через С4. На луче с от точки С1 откладываем отрезок, равный отрезку С1С4, конец отрезка обозначаем через С5 (Рис. 4). Точка С5 делит отрезок С1С2 в пропорции золотого сечения:
. Строим серединный перпендикуляр р к отрезку С1С5, точку их пересечения обозначаем через С6 (Рис. 4).
Проводим касательную а к окружности в точке А0 (Рис. 3). Проводим окружность с центром в точке А0 и радиусом С1С6, точки ее пересечения с данной окружностью обозначим через А1 и А2, точки ее пересечения с касательной а обозначим через В1 и В2. Отрезок А1А2 является стороной пятиугольника. От точки А2 откладываем отрезок А1А2, точку его пересечения с окружностью обозначим через А3. От точки А3 откладываем отрезок А1А2, точку его пересечения с окружностью обозначим через А4. От точки А4 откладываем отрезок А1А2, точку его пересечения с окружностью обозначим через А5. Соединяем отрезками точки А1, А2, А3, А4 и А5, получается соответствующий правильный пятиугольник (Рис. 3).




Доказательство: Для правильного пятиугольника (Рис. 3) и для пентаграммы характерны пропорции золотого сечения:
, которые и нужно осуществить.
, тогда, по свойству пропорции:
, что и требовалось доказать.
4. Точное построение правильного шестиуголника
Построение: Проводим диаметр окружности А1А4. Проводим вспомогательную окружность с центром в точке А1 и радиусом А1О, то есть радиусом, равным радиусу данной окружности; вспомогательная окружность пересекает данную в точках А2 и А3. Проводим окружность с центром в точке А4 и радиусом А1О, точки ее пересечения с данной окружностью обозначим через А5 и А6. Соединяем отрезками точки А1, А2, А3, А4, А5 и А6, получается правильный шестиугольник (Рис. 5).


Доказательство: По теореме 5.2.3. о перпендикулярности линии центров общей хорде, отрезок А1О перпендикулярен отрезку А3А2, точку их пересечения обозначим через Р. Значит, отрезок ОР является высотой равнобедренного треугольника А3ОА2. По теореме 8.2.1., высота равнобедренного треугольника совпадает с биссектрисой угла, образованного равными сторонами, значит, отрезок ОА1 является биссектрисой угла А3ОА2. Согласно п. 1., угол А3ОА2 равен
. Следовательно, угол А1ОА2 равен
, то есть 1/6 полного угла, значит, отрезок А1А2 является стороной правильного шестиугольника (Def. 9.8.), что и требовалось доказать.

5. Точное построение правильного семиугольника
Построение: Чтобы окружность была разделена на семь равных частей, нужно, чтобы полный угол с вершиной в точке О был разделен на семь равных центральных углов. Тогда прямой угол, являющийся четвертью полного, должен быть разделен на дробное число частей:
. В [2] разработан способ точного деления прямого угла на дробное число частей, состоящий в следующем.
Рассмотрим прямой угол с вершиной в точке Х, образованный лучами а и с. Проводим дугу окружности с центром в точке Х и радиусом r, равным радиусу данной окружности; точки ее пересечения с лучами а и с обозначаем через Е и С соответственно. Проводим дугу окружности с центром в точке Х и радиусом 1,5r; точку ее пересечения с лучом а обозначаем через В (Рис. 6).
На дуге окружности с центром в точке Х и радиусом 1,5r от точки В откладываем некоторое расстояние п: раствором циркуля откладывается хорда длиной п, конец отложенного отрезка обозначается через В1. От точки В1 откладывается расстояние
, конец отрезка обозначается через В2; расстояние п подбирается так, чтобы отложенные на этой дуге отрезки не достигали луча с (Рис. 6).


Через точки С и В2 проводим прямую; луч а продолжаем по прямой до пересечения его с прямой СВ2, точку пересечения обозначаем через Р. Проводим прямую через точки Р и В1, точку ее пересечения с дугой ЕС обозначаем через Е1. Через точку Е1 проводим луч с началом в точке Х, разбивающий угол ЕХС на дробные части (Рис. 6). Угол ЕХЕ1 равен одной седьмой полного угла.

На окружности с центром в точке О берем некоторую точку А1. Проводим дугу окружности с центром в точке А1 и радиусом, равным отрезку ЕЕ1, точку ее пересечения с данной окружностью обозначим через А2. Проводим дугу окружности с центром в точке А2 и радиусом, равным отрезку ЕЕ1, точку ее пересечения с данной окружностью обозначим через А3. Проводим дугу окружности с центром в точке А3 и радиусом, равным отрезку ЕЕ1, точку ее пересечения с данной окружностью обозначим через А4. Проводим дугу окружности с центром в точке А1 и радиусом, равным отрезку ЕЕ1, точку ее пересечения с данной окружностью обозначим через А5. Проводим дугу окружности с центром в точке А5 и радиусом, равным отрезку ЕЕ1, точку ее пересечения с данной окружностью обозначим через А6. Проводим дугу окружности с центром в точке А6 и радиусом, равным отрезку ЕЕ1, точку ее пересечения с данной окружностью обозначим через А7. Соединяем отрезками получившиеся точки, образуется правильный семиугольник (Рис. 7).


Доказательство: Доказательство точности деления прямого угла на дробное число частей основано на доказательстве точности деления прямого угла на несколько равных частей [3]. Равенство угла А1ОА2 одной седьмой полного угла следует из:
по трем сторонам (Ах. 8.5.3.), следовательно,
по аксиоме о равенстве фигур (Ах. 6.8.).
, что и требовалось доказать.
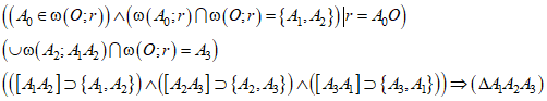
6. Точное построение правильного восьмиугольника
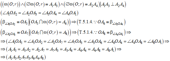
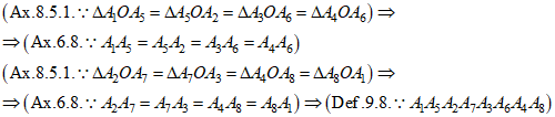
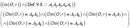
Построение: Чтобы окружность была разделена на восемь равных частей, нужно, чтобы полный угол с вершиной в точке О был разделен на восемь равных центральных углов. Для этого нужно, чтобы каждый из четырех равных центральных углов, образованных диагоналями правильного четырехугольника, был разделен на два равных угла. Для этого строим биссектрису ОА5 угла А1ОА2, точку пересечения прямой ОА5 с окружностью обозначим через А6 (Рис. 8). По теореме 5.1.4. о биссектрисах вертикальных углов, отрезок ОА6, лежащий на луче, дополнительном лучу ОА5, является биссектрисой угла А3ОА4, вертикального по отношению к углу А1ОА2. Строим биссектрису ОА7 угла А2ОА3, точку пересечения прямой ОА7 с окружностью обозначим через А8. По теореме 5.1.4., отрезок ОА8, лежащий на луче, дополнительном лучу ОА7, является биссектрисой угла А4ОА1, вертикального по отношению к углу А2ОА3 (Рис. 8).

Таким образом полный угол разделен на восемь равных центральных углов, следовательно, все хорды, на которые опираются эти углы, равны. Соединяем отрезками все точки, получается правильный восьмиуголник (Рис. 8).

Доказательство:

7. Точное построение правильного девятиугольника
I вариант построения: Чтобы окружность была разделена на девять равных частей, нужно, чтобы полный угол с вершиной в точке О был разделен на девять равных центральных углов. Тогда прямой угол, являющийся четвертью полного, должен быть разделен на дробное число частей:
. Используем способ точного деления прямого угла на дробное число частей, разработанный в [2].
Пускай прямой угол с вершиной в точке Х образован лучами а и с. Проводим дугу окружности с центром в точке Х и радиусом r, равным радиусу данной окружности; точки ее пересечения с лучами а и с обозначаем через Е и С соответственно (Рис. 9).
Проводим дугу окружности с центром в точке Х и радиусом 1,5r; точку ее пересечения с лучом а обозначаем через В. На дуге окружности с центром в точке Х и радиусом 1,5r от точки В последовательно откладываем два раза некоторое расстояние п: раствором циркуля последовательно откладываются хорды длиной п; концы отложенных отрезков обозначаются через В1 и В2. От точки В2 откладываем расстояние ј п, конец отрезка обозначаем через В3 (Рис. 9); расстояние п подбирается так, чтобы точка В3 не лежала на луче с.
Через точки С и В3 проводим прямую; луч а продолжаем по прямой до пересечения его с прямой СВ3, точку пересечения обозначаем через Р. Проводим прямую через точки Р и В1, точку ее пересечения с дугой ХС обозначаем через Е1; проводим прямую через точки Р и В2, точку ее пересечения с дугой ХС обозначаем через Е2 (Рис. 9).
Через точку Е1 проводим луч с началом в точке Х; через точку Е2 проводим луч с началом в точке Х. Угол ЕХЕ1 равен одной девятой полного угла.


На окружности с центром в точке О берем некоторую точку А1. Проводим дугу окружности с центром в точке А1 и радиусом, равным отрезку ЕЕ1, точку ее пересечения с данной окружностью обозначим через А2. Проводим дугу окружности с центром в точке А2 и радиусом, равным отрезку ЕЕ1, точку ее пересечения с данной окружностью обозначим через А3. Проводим дугу окружности с центром в точке А3 и радиусом, равным отрезку ЕЕ1, точку ее пересечения с данной окружностью обозначим через А4. Проводим дугу окружности с центром в точке А4 и радиусом, равным отрезку ЕЕ1, точку ее пересечения с данной окружностью обозначим через А5. Проводим дугу окружности с центром в точке А1 и радиусом, равным отрезку ЕЕ1, точку ее пересечения с данной окружностью обозначим через А6. Проводим дугу окружности с центром в точке А6 и радиусом, равным отрезку ЕЕ1, точку ее пересечения с данной окружностью обозначим через А7. Проводим дугу окружности с центром в точке А7 и радиусом, равным отрезку ЕЕ1, точку ее пересечения с данной окружностью обозначим через А8. Проводим дугу окружности с центром в точке А8 и радиусом, равным отрезку ЕЕ1, точку ее пересечения с данной окружностью обозначим через А9. Соединяем отрезками получившиеся точки, образуется правильный девятиугольник (Рис. 10).


Доказательство: Доказательство точности деления прямого угла на дробное число частей основано на доказательстве точности деления прямого угла на несколько равных частей [3]. Равенство угла А1ОА2 одной девятой полного угла доказывается так:
по трем сторонам (Ах. 8.5.3.), следовательно,
по аксиоме о равенстве фигур (Ах. 6.8.).
, что и требовалось доказать.
II вариант построения: Чтобы окружность была разделена на девять равных частей, нужно, чтобы полный угол с вершиной в точке О был разделен на девять равных центральных углов. Согласно п. 1., при построении равностороннего треугольника центральный угол А1ОА2 (Рис. 1) получается равным
и составляет одну треть полного угла. Для разбиения полного угла на девять нужно разделить угол А1ОА2 на три равных угла. Способ деления тупого угла на три равные части разработан в [2], [3].
Пускай прямой угол с вершиной в точке Х образован лучами а и с. Проводим дугу окружности с центром в точке Х и радиусом r, равным радиусу данной окружности; точки ее пересечения с лучами а и с обозначаем через Е и С соответственно (Рис. 11).
Проводим дугу окружности с центром в точке Х и радиусом 2r; точку ее пересечения с лучом а обозначаем через В. На дуге окружности с центром в точке Х и радиусом 2r от точки В последовательно откладываем три раза некоторое расстояние п: раствором циркуля последовательно откладываются хорды длиной п; концы отложенных отрезков обозначаются через В1, В2 и В3; расстояние п подбирается так, чтобы точка В3 не достигала луча с.
Через точки С и В3 проводим прямую; луч а продолжаем по прямой до пересечения его с прямой СВ3, точку пересечения обозначаем через Р. Проводим прямую через точки Р и В1, точку ее пересечения с дугой ХС обозначаем через Е1; проводим прямую через точки Р и В2, точку ее пересечения с дугой ХС обозначаем через Е2 (Рис. 11). Через точку Е1 и точку Е2 проводим лучи с началом в точке Х. Угол ЕХЕ1 равен одной трети угла
.


На данной окружности берем некоторую точку А0. Проводим вспомогательную окружность с центром в точке А0 и радиусом А0О, то есть радиусом, равным радиусу данной окружности; вспомогательная окружность пересекает данную в точках А1 и А2 (Рис. 12). Проводим дугу окружности с центром в точке А1 и радиусом, равным отрезку ЕЕ1, точку ее пересечения с данной окружностью обозначим через А3. Проводим дугу окружности с центром в точке А3 и радиусом, равным отрезку ЕЕ1, точку ее пересечения с данной окружностью обозначим через А4. Проводим дугу окружности с центром в точке А2 и радиусом, равным отрезку ЕЕ1, точку ее пересечения с данной окружностью обозначим через А5. Проводим дугу окружности с центром в точке А5 и радиусом, равным отрезку ЕЕ1, точку ее пересечения с данной окружностью обозначим через А6. Проводим дугу окружности с центром в точке А6 и радиусом, равным отрезку ЕЕ1, точку ее пересечения с данной окружностью обозначим через А7. Проводим дугу окружности с центром в точке А7 и радиусом, равным отрезку ЕЕ1, точку ее пересечения с данной окружностью обозначим через А8. Проводим дугу окружности с центром в точке А8 и радиусом, равным отрезку ЕЕ1, точку ее пересечения с данной окружностью обозначим через А9. Соединяем отрезками получившиеся точки, образуется правильный девятиугольник (Рис. 12).


Доказательство: Доказательство точности деления тупого угла на три равные части приведено в [3]. Равенство угла А1ОА2
доказано в п. 1. Равенство угла А1ОА3 одной девятой полного угла доказывается так:
по трем сторонам (Ах. 8.5.3.), следовательно,
по аксиоме о равенстве фигур (Ах. 6.8.).
, что и требовалось доказать.
8. Точное построение правильного десятиугольника
Построение: Чтобы окружность была разделена на десять равных частей, нужно, чтобы полный угол с вершиной в точке О был разделен на десять равных центральных углов. Для этого нужно, чтобы каждый центральный угол, образующийся при построении правильного пятиугольника (п. 3.), был разделен на два равных угла.
Проводим диаметр А4А0, диаметр А5А6, диаметр А1А7, диаметр А2А8, диаметр А3А9 (Рис. 13). Соединяем отрезками точки А0А2, А2А6, А6А3, А3А7, А7А4, А4А8, А8А5, А5А9, А9А1, А1А0, получается правильный десятиугольник.



Доказательство: Обозначим точку пересечения диаметра А4А0 со стороной А1А2 правильного пятиугольника (Рис. 3) через Р.
по трем сторонам (Ах. 8.5.3.), следовательно,
по аксиоме о равенстве фигур (Ах. 6.8.). Эти углы – смежные (Def. 4.14.), следовательно, они – прямые:
. По теореме 8.2.1., в равнобедренном треугольнике А1ОА2 высота совпадает с биссектрисой угла А1ОА2, следовательно, диаметр А4А0 является биссектрисой угла А1ОА2. Аналогично: диаметр А5А6 является биссектрисой угла А2ОА3; диаметр А1А7 – биссектрисой угла А3ОА4; диаметр А2А8 – биссектрисой угла А4ОА5; диаметр А3А9 – биссектрисой угла А5ОА1. Согласно п. 3., угол А1ОА2 равен одной пятой полного угла. Следовательно, угол А0ОА2 и все равные ему углы составляют одну десятую полного угла, что и требовалось доказать.

9. Точное построение правильного одиннадцатиугольника
Построение: Чтобы окружность была разделена на одиннадцать равных частей, нужно, чтобы полный угол с вершиной в точке О был разделен на одиннадцать равных центральных углов. Тогда прямой угол, являющийся четвертью полного, должен быть разделен на дробное число частей:
. Используем способ точного деления прямого угла на дробное число частей, разработанный в [2].
Пускай прямой угол с вершиной в точке Х образован лучами а и с. Проводим дугу окружности с центром в точке Х и радиусом r, равным радиусу данной окружности; точки ее пересечения с лучами а и с обозначаем через Е и С соответственно (Рис. 14).

Проводим дугу окружности с центром в точке Х и радиусом 1,5r; точку ее пересечения с лучом а обозначаем через В. На дуге окружности с центром в точке Х и радиусом 1,5r от точки В последовательно откладываем два раза некоторое расстояние п: раствором циркуля последовательно откладываются хорды длиной п; концы отложенных отрезков обозначаются через В1 и В2. От точки В2 откладываем расстояние 3/4 п, конец отрезка обозначаем через В3; точка В3 не лежит на луче с (Рис. 14). Через точки С и В3 проводим прямую; луч а продолжаем по прямой до пересечения его с прямой СВ3, точку пересечения обозначаем через Р. Проводим прямую через точки Р и В1, точку ее пересечения с дугой ХС обозначаем через Е1; проводим прямую через точки Р и В2, точку ее пересечения с дугой ХС обозначаем через Е2 (Рис. 14). Через точки Е1 и Е2 проводим лучи с началом в точке Х. Угол ЕХЕ1 равен одной одиннадцатой полного угла.

На данной окружности с центром в точке О берем некоторую точку А1. Проводим дугу окружности с центром в точке А1 и радиусом ЕЕ1, точку ее пересечения с данной окружностью обозначим через А2. Проводим дугу окружности с центром в точке А2 и радиусом ЕЕ1, точку ее пересечения с данной окружностью обозначим через А3. Проводим дугу окружности с центром в точке А3 и радиусом ЕЕ1, точку ее пересечения с данной окружностью обозначим через А4. Проводим дугу окружности с центром в точке А4 и радиусом ЕЕ1, точку ее пересечения с данной окружностью обозначим через А5. Проводим дугу окружности с центром в точке А5 и радиусом ЕЕ1, точку ее пересечения с данной окружностью обозначим через А6. Проводим дугу окружности с центром в точке А1 и радиусом ЕЕ1, точку ее пересечения с данной окружностью обозначим через А7. Проводим дугу окружности с центром в точке А7 и радиусом ЕЕ1, точку ее пересечения с данной окружностью обозначим через А8. Проводим дугу окружности с центром в точке А8 и радиусом ЕЕ1, точку ее пересечения с данной окружностью обозначим через А9. Проводим дугу окружности с центром в точке А9 и радиусом ЕЕ1, точку ее пересечения с окружностью обозначим через А10. Проводим дугу окружности с центром в точке А10 и радиусом ЕЕ1, точку ее пересечения с данной окружностью обозначим через А11. Соединяем отрезками получившиеся точки, образуется правильный одиннадцатиугольник (Рис. 15).



Доказательство: Доказательство точности деления прямого угла на дробное число частей основано на доказательстве точности деления прямого угла на несколько равных частей [3]. Равенство угла А1ОА2 одной одиннадцатой полного угла доказывается так:
по трем сторонам (Ах. 8.5.3.), следовательно,
по аксиоме о равенстве фигур (Ах. 6.8.).
, что и требовалось доказать.
Правильные многоугольники с большим четно-четным числом сторон строятся тем же способом, что и восьмиугольник. Правильные многоугольники с большим четно-нечетным числом сторон строятся тем же способом, что и десятиугольник. Правильные многоугольники с большим нечетным числом сторон строятся тем же способом, что и семи-, девяти-, одиннадцатиугольник.
Выводы. Осуществлено считавшееся до сих пор невозможным точное построение правильных многоугольников с нечетным числом сторон по правилам классической геометрии, то есть с помощью простой линейки и циркуля. Построение правильных многоугольников осуществляется путем точного деления данной окружности на заданное число равных частей. Деление окружности производится путем деления полного угла на соответствующее равное число центральных углов. Для точного деления полного угла на заданное число равных частей применяется разработанный автором способ точного деления любого угла на дробное число частей. При решении задачи разделения данной окружности на заданное число равных частей выполняются вспомогательные построения вне этой окружности, что вполне допустимо.
Библиографический список
- Плисова Н.Н. Основания геометрии. – 6-е изд., перераб. и доп. – М.: Эдитус, 2026. – 400 с.
- Плисова Н.Н. Решение «неразрешимых» задач классической геометрии. – М: Эдитус, 2026. – 60 с.
- Плисова Н.Н. Точное деление угла и дуги окружности на три равные части и на большее число равных частей в классической геометрии // Современные научные исследования и инновации, 2022, № 11 [Электронный ресурс]. URL:https://web.snauka.ru/issues/2022/11/98969
