Задача оптимального планирования маршрутов транспорта (Vehicle Routing Problem, VRP) впервые была сформулирована в 1959 году для доставки топлива на заправки как обобщение задачи коммивояжёра [1]. С тех пор VRP стала одной из ключевых задач комбинаторной оптимизации в логистике. На практике службы доставки сталкиваются с разнообразными усложнениями базовой задачи. В частности, распространена задача маршрутизации с временными окнами (Vehicle Routing Problem with Time Windows, VRPTW) – вариант VRP, в котором каждому клиенту задан интервал времени, когда допустима доставка [2]. Этот тип задач впервые изучен М. Соломоном в 1987 году и отражает реальные ограничения расписаний доставки (например, часы работы получателя или курьера) [2]. VRPTW формально относится к классу NP-трудных задач, то есть при увеличении числа заявок точное решение требует некомпьютируемо большого времени [3]. Тем не менее, разработаны различные методы и алгоритмы для получения приближённых оптимальных маршрутов за разумное время даже на больших сетях.
В современной городской логистике, особенно с ростом электронной коммерции, значительно возрос объём курьерских доставок. Это приводит не только к сложностям в организации (необходимо больше курьеров и транспортных средств, увеличивается трафик и необходимость учёта временных окон клиентов), но и к негативным экологическим последствиям. Транспортный сектор является одним из основных источников выбросов парниковых газов, и государства вводят регулятивные меры для снижения углеродного следа доставки. Республика Беларусь приняла на себя обязательства по сокращению выбросов СО₂ и закрепила их на национальном уровне: в 2024 году вступили в силу изменения в Закон РБ «Об охране окружающей среды», требующие учёта и ограничения выбросов парниковых газов предприятиями [4]. Помимо регуляторного давления, рост цен на топливо и повышение экологической осведомленности клиентов создают для логистических компаний прямой экономический стимул к внедрению «зеленых» технологий. Курьерские службы, как часть транспортного сектора, также попадают в поле этих экологических и экономических требований.
Рынок курьерской доставки в Беларуси активно развивается. По данным Министерства связи, в стране действует порядка 18 курьерских компаний, имеющих лицензию на услуги наложенного платежа (в их числе национальный оператор РУП «Белпочта», частные логистические службы и подразделения международных компаний) [5]. Это свидетельствует о конкурентности отрасли и о том, что эффективность маршрутизации становится важным фактором успеха. Оптимизация маршрутов позволяет компаниям одновременно снижать издержки (пробег, затраты топлива) и выполнять больше доставок в единицу времени, что улучшает качество сервиса для клиентов.
Помимо экономических выгод, оптимизация маршрутов способствует экологической устойчивости доставки. Сокращение пробега напрямую уменьшает расход топлива и связанные выбросы CO₂. Например, в сервисе «Яндекс.Маркет» применение системы интеллектуальной маршрутизации курьеров с учётом дорожной ситуации и расписаний клиентов позволило за год сократить суммарный пробег автомобилей на ~19%, что эквивалентно снижению выбросов почти на 5000 тонн CO₂-эквивалента [6]. сопоставимо с тем, как если бы тысяча легковых автомобилей исчезла с дорог на целый год. Данный пример наглядно демонстрирует потенциал маршрутизационной оптимизации в деле «зелёной» логистики. В контексте курьерских служб Республики Беларусь подобные технологии также могли бы дать значимый экологический эффект, учитывая сравнительно небольшой парк доставочных автомобилей: оптимизация маршрутов на 15–20% позволила бы ежегодно экономить тысячи литров топлива и сотни тонн выбросов парниковых газов.
Цель работы – разработка и исследование математической модели и алгоритмического подхода для решения задачи маршрутизации курьеров с жёсткими временными окнами и ограничением на суммарные выбросы CO₂, адаптированных для условий работы курьерских служб Республики Беларусь.
Для достижения поставленной цели были определены следующие задачи исследования:
проанализировать классическую постановку задачи VRPTW и её расширения, связанные с учётом экологических факторов («зелёная» логистика);
провести обзор существующих методов и алгоритмов решения задач маршрутизации, включая точные методы целочисленного программирования и современные эвристические подходы;
сформулировать базовую математическую модель задачи маршрутизации курьеров с временными окнами и ограничением по выбросам CO₂ в виде смешанной целочисленной линейной программы (MILP);
предложить усовершенствованную модель, учитывающую специфику белорусских курьерских служб, и разработать гибридный алгоритм для её решения;
обосновать практическую применимость предложенного подхода для повышения операционной и экологической эффективности курьерских служб.
Объект исследования: процесс планирования маршрутов в городских курьерских службах.
Предмет исследования: математические модели и методы оптимизации для задачи маршрутизации транспорта с временными и экологическими ограничениями.
Таким образом, актуальна задача разработки моделей и методов маршрутизации курьеров, учитывающих жёсткие временные окна доставки и при этом ограничивающих суммарный объём выбросов CO₂. Необходимо не только минимизировать традиционные показатели (пройденное расстояние, время или затраты), но и соблюдать экологические нормативы. В данной работе предлагается математическая модель такой задачи и подход к её решению методами оптимизации целочисленного программирования. Также проведён обзор существующих решений в области операционного менеджмента и исследования операций, связанных с экологичной маршрутизацией, и предложены пути улучшения модели на основе учёта локальных особенностей курьерской доставки в РБ и использования современных технологий.
Математическая постановка задачи
Базовая модель. Рассмотрим следующий формальный подход к задаче маршрутизации курьеров с временными окнами и ограничением выбросов CO₂.
Условие задачи. Имеется множество заказов (точек доставки)
, которые должны быть обслужены набором курьеров (транспортных средств)
, выезжающих из единого склада (депо)
и возвращающихся туда же после завершения маршрута. Каждый заказ
характеризуется известными координатами, временем обслуживания
(например, время на передачу посылки клиенту) и временным окном
, в течение которого курьер должен прибыть к клиенту. Прибытие раньше
нежелательно (курьер будет ожидать, что считается допустимым, но неэффективным), а прибытие позже
недопустимо (жёсткое временное окно) [3]. Кроме того, каждый заказ может иметь величину груза (объём или вес посылки), а у каждого курьера – ограниченная грузоподъёмность, однако в данной модели для упрощения вместимость можем считать достаточной либо учитывать её при необходимости.
Маршрут каждого курьера
представляет собой цикл, начинающийся и заканчивающийся в депо 0, и проходит через некоторое подмножество точек
. Каждый заказ должен быть обслужен ровно одним курьером (разные маршруты не пересекаются по точкам доставки). Обозначим переменную
, если курьер
заезжает из точки
в точку
непосредственно (по последовательности маршрута), и
иначе. Здесь
и
пробегают множество узлов
, где
– отправной депо, а фиктивный узел
также отождествляется с депо (возвращение). Для каждой дуги
определена длина
(например, километры) и время в пути
. Вводится вспомогательная переменная времени прибытия курьера
в точку
:
(это решение задачи временного расписания, связанной с маршрутом).
С учётом вышесказанного классическая цель VRPTW – минимизация суммарного пробега или суммарных транспортных затрат на выполнение всех доставок [2][3]. В данной задаче добавлено ограничение по выбросам CO₂: суммарный объём эмиссии парниковых газов от выполнения всех маршрутов не должен превышать заданного лимита
. Этот лимит может определяться экологической политикой компании или нормативами (например, квота на выбросы за период). Для оценки выбросов будем считать, что каждое транспортное средство – автомобиль на ДВС с определённым средним удельным выбросом
(кг CO₂ на 1 км пробега). Тогда при известном общем пробеге всех курьеров можно приблизительно вычислить суммарные выбросы
. Ограничение имеет вид
.
При необходимости модель может быть уточнена: например, коэффициент выбросов
может зависеть от загруженности автомобиля или от режима движения (город/шоссе), либо может различаться для разных типов машин. Однако в базовой модели будем считать
постоянной величиной для упрощения (позднее в улучшенной модели учтём возможность нескольких типов транспортных средств).
Таким образом, можно записать модель в виде задачи целочисленного линейного программирования.
Исходные данные:
множество N = {0, 1, …, n}, где узел 0 – депо, а {1, …, n} – точки доставки;
множество курьеров K = {1, 2, …, m};
для каждой дуги (i,j) между узлами i, j∈N определены:
для каждого клиента i ∈ {1, …, n} заданы:
e – средний удельный выброс CO₂ на 1 км пробега (кг/км).
Emax – максимально допустимый суммарный объём выбросов CO₂.Переменные:
– бинарная переменная, принимающая значение 1, если маршрут курьера
проходит непосредственно из точки
в точку
.
– время прибытия курьера
в точку
(неотрицательная непрерывная переменная).
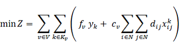
Целевая функция (например, минимизация общего пробега или времени работы курьеров):

где
– стоимость перемещения из
в
. В простейшем случае
пропорциональна расстоянию
, то есть минимизация стоимости эквивалентна минимизации общего пробега.Ограничения:Обслуживание каждого клиента. Каждый заказ обслуживается одним курьером: для каждого ![]()

что означает, что найдётся ровно одна дуга, входящая в узел
, по которой приехал некоторый курьер, и этим единственным посещением заказ
закрывается.
Баланс маршрута для каждого курьера: для каждого курьера
и каждой точки
должно выполняться
.gif)
что представляет условие входа-выхода: сколько раз курьер
вошёл в узел
, столько же раз он из него вышел (таким образом образуется замкнутый путь). Кроме того, для депо 0:
при условии, что курьер
задействован (начинает и заканчивает свой маршрут в депо).
Ограничения по временным окнам: если курьер
следует из
в
, то время прибытия
должно не раньше, чем
. Кроме того,
должно лежать в интервале допустимого окна
. Для жёстких временных окон нарушать верхнюю границу
недопустимо [3]. Можно ввести большое положительное число
и записать ограничения в линейном виде:
![]()
![]()
для всех
и каждого
. Таким образом, если
, неравенство обязывает связать времена прибытия, а если
, условие тривиально за счёт
.
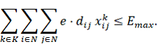
Ограничение по выбросам CO₂:

Это ключевое ограничение экологической модели, гарантирующее, что общее расстояние (взвешенное на удельные выбросы) не превысит заданный лимит. При необходимости его можно заменить на более сложную функцию, например, суммарный расход топлива, зависящий от скорости движения и массы груза (как в модели Pollution-Routing Problem [7]), однако в линейной постановке воспользуемся данной аппроксимацией.
Целочисленность:
.Полученная модель относится к смешанно-целочисленным линейным программам (MILP). Число переменных растёт приблизительно как
, что для реальных размеров задач приводит к очень большим моделям. Тем не менее, современные солверы (CPLEX, Gurobi, а также открытые решения типа CBC, OR-Tools) способны решать точно небольшие и средние задачи с десятками точек доставки [3]. В случаях, когда прямое оптимизационное решение затруднительно, применяются специальные методы и алгоритмы, о которых речь пойдёт далее.
Расширенная модель с гетерогенным автопарком
На практике курьерские службы используют различные типы транспортных средств (гетерогенный автопарк): от легковых автомобилей и фургонов до экологичных электромобилей или грузовых велосипедов. У каждого типа транспорта своя грузоподъемность, эксплуатационные расходы и, что ключевое для данной задачи, свой уровень выбросов. Усложним модель, чтобы она могла не только строить маршруты, но и оптимально подбирать транспорт для каждого из них.
Дополнительные исходные данные:
– множество типов транспортных средств (например,
– легковой автомобиль,
– фургон,
– электромобиль).
– множество курьеров, использующих транспорт типа
.
– грузоподъемность транспорта типа
.
– средний удельный выброс CO₂ на 1 км для транспорта типа
(для электромобиля
= 0).
– фиксированная стоимость использования одного транспортного средства типа
(амортизация, страховка).
– переменная стоимость 1 км пробега для транспорта типа
(топливо, износ).
– вес/объем заказа i.
Новые переменные:
– бинарная переменная, равная 1, если курьер
задействован в маршруте.
Модифицированная целевая функция:
Целью становится минимизация совокупных операционных затрат, которые включают как переменные расходы на пробег, так и фиксированные расходы на задействованные автомобили.

Модифицированные и новые ограничения:
Ограничение по выбросам CO₂ (с учетом типа ТС):

Ограничение по грузоподъемности: для каждого курьера k, использующего транспорт типа
, суммарный объем заказов на его маршруте не должен превышать
.

для всех
.
Активация курьера: Переменная
связана с использованием маршрута.

Остальные ограничения, такие как обслуживание каждого клиента, баланс маршрута и временные окна, сохраняются, но теперь применяются к переменным
с учетом принадлежности курьера
к определенному типу транспорта.Обслуживание каждого клиента:

Баланс маршрута для каждого курьера:
Ограничения по временным окнам:![]()
Целочисленность:
.Эта расширенная модель является более сложной, но и более адекватной для практического применения, так как позволяет принимать комплексные решения «маршрут + транспорт».
Обзор существующих решений
Задачи маршрутизации с временными окнами интенсивно исследуются с конца XX века в связи с развитием вычислительных методов и возросшей потребностью в логистических оптимизациях. К 2000-м годам были предложены как эффективные точные алгоритмы для VRPTW умеренного размера, так и разнообразные эвристические методы для крупных практических инстансов. Точные методы базируются на идеях целочисленного программирования и методов ветвей и границ. Например, метод колонного порождения (column generation) и его вариации успешно применялись для VRPTW, позволяя оптимально решить задачи до 100 заказов [3]. Однако для типичных сценариев курьерской доставки в городе (сотни и тысячи заказов в день) точные алгоритмы оказываются слишком медленными. Поэтому в промышленности и научных работах уделяется внимание приближённым алгоритмам: метаэвристикам и специализированным жадным методам, которые находят хорошие решения за приемлемое время.
К числу популярных методов относятся: поиск с запретами (Tabu Search), имитация отжига, муравьиные и генетические алгоритмы, а также гибридные подходы, сочетающие эвристики с точной оптимизацией. Так, Ж.-Ф. Кордо и соавт. разработали унифицированный алгоритм на основе поиска с запретами для VRPTW, показавший высокое качество решения на классических тестах Соломона [3]. Другие исследования внедряют адаптивный большой локальный поиск (ALNS), методы разбиения и т.д. – их цель максимально снизить суммарный пробег и количество машин, удовлетворяя временные ограничения клиентов. Для динамических сценариев, когда заказы поступают в режиме реального времени, применяются онлайн-алгоритмы и переоптимизация маршрутов на лету.
Отдельного внимания заслуживает направление «зелёной» маршрутизации транспорта. С ростом осознания проблем изменения климата в логистических задачах стали явно учитывать экологические показатели. В 2011 году Бекташ и Лапорт ввели формулировку Pollution-Routing Problem (PRP) – расширение VRPTW, в котором целью оптимизации является снижение вредных выбросов и расхода топлива наряду с традиционными затратами [7]. В модели PRP учитывается, что расход топлива зависит от пройденного расстояния, скорости и массы груза; оптимизация может включать выбор оптимальной скорости движения на каждом маршруте для снижения расхода. Таким образом, PRP добавляет ещё одно измерение к задаче маршрутизации – энергетическое. Многие последующие работы развивали эту идею: появилась обобщённая концепция Green VRP, охватывающая все задачи маршрутизации с экологическими ограничениями и целями. Сюда относятся, в частности, задачи маршрутизации с минимизацией углеродного следа, с учётом выбросов при простоях в пробках, выбором экологичного транспорта и др. Современные обзоры (например, Demir et al., 2014; Lin et al., 2014) классифицируют такие задачи на несколько типов, включая уже упомянутые PRP, задачи обратной логистики (утилизации) и задачи маршрутизации электротранспорта [7][8].
Помимо ограничения выбросов через оптимизацию традиционных транспортных средств, развивается направление перехода на альтернативные виды транспорта. Так, выделяется задача маршрутизации электрических транспортных средств (EVRP), где учитывается ограниченный запас хода электромобилей и необходимость посещения зарядных станций. Эта задача тоже обычно включает временные окна и становится сложной комбинированной проблемой (необходимо планировать как доставку, так и подзарядки). Применение электромобилей в курьерской доставке позволяет радикально снизить локальные выбросы CO₂, однако требует решения своих оптимизационных подзадач (например, оптимальное распределение зарядок по маршруту). В контексте постановки (ограничение выбросов) использование электрокурьеров фактически сводит
почти к нулю, но в данной работе упор на оптимизацию маршрутов традиционного транспорта с соблюдением заданного лимита эмиссии. Тем не менее, модель легко расширяется и на случай электромобилей – просто добавлением соответствующих ограничений на запас хода и пунктов зарядки [5].
В литературе описано несколько подходов к решению задачи, схожей с данной – VRPTW с ограничением по углеродным выбросам. Как правило, такие задачи формулируются как двухцелевые (двухкритериальные): минимизация затрат и выбросов, или как задачи с функцией штрафа за выбросы, включенной в целевую функцию. К примеру, Chen и соавторы предложили модель маршрутизации для нескольких типов товаров с временными окнами, добавив компонент стоимости за выбросы CO₂ в целевую функцию, и разработали алгоритм на основе переменного поиска соседства (VNS) для её решения [5]. Их подход позволил на тестовых примерах сократить выбросы на ~5–10% при незначительном увеличении пробега, демонстрируя компромисс между экологическими и экономическими целями. Другие исследователи рассматривали сценарии с ограничением на суммарный объём топлива: если решение превышает лимит, вводятся дополнительные машины или же нарушаются временные окна с большими штрафами – такие модели решаются методами ограниченного программирования или эволюционными алгоритмами.
Важно отметить, что даже при наличии экологического ограничения NP-сложность задачи остаётся высокой. Добавление нового ограничения не упрощает, а скорее усложняет поиск решения, поскольку сокращает допустимое пространство маршрутов. Для решения задачи маршрутизации курьеров с ограничением по СО₂ можно применять сочетание методов: сначала попытаться решить облегчённую задачу (игнорируя ограничение) каким-либо эффективным алгоритмом VRPTW, затем скорректировать решение под выбросы. Например, можно использовать жадный алгоритм или ALNS для построения начальных маршрутов, а затем применить механизм локального поиска, который перестраивает маршруты, если нарушена эмиссионная норма. Также возможно использовать метод пенализации: перенести ограничение по CO₂ в целевую функцию с большим штрафным коэффициентом и решать обычными методами VRPTW, добиваясь тем самым выполнения лимита. Тем не менее, наилучший результат даст специализированная оптимизационная модель, учтенная с самого начала.
В обзоре решений стоит упомянуть и практические системы, уже внедрённые в индустрии. Крупные логистические операторы (UPS, DHL и др.) разрабатывают собственные ПО для оптимизации маршрутов, в которых помимо времени доставки всё чаще учитывается экономия топлива. Так, UPS сообщала о значительном сокращении пробега своих грузовиков за счёт маршрутизации с избеганием левых поворотов и пробок, что в итоге уменьшило выбросы на тысячи тонн в год. В России и соседних странах сервис «Яндекс.Маршрутизация» предоставляет компаниям облачное решение по составлению маршрутов с учётом более 300 факторов (включая трафик). Как уже отмечалось, эффект от внедрения таких систем – двоякий: рост эффективности доставки и снижение экологического ущерба [6]. Это подтверждает, что методы, разрабатываемые в научных исследованиях, находят реальное применение и приносят измеримую пользу.
Улучшенная модель и предложенное решение
На основе анализа существующих решений сформулируем особенности данной модели и подхода, которые позволяют говорить об улучшении по сравнению с традиционными постановками.
Во-первых, принципиальное отличие – наличие жёсткого ограничения на выбросы CO₂. В то время как большинство работ либо добавляют фактор выбросов в цель, либо рассматривают его отдельно, в работе учитывается экологический лимит как обязательное условие. Это соответствует реальным ситуациям, когда компания поставила перед собой (или перед ней поставлены регулятором) конкретные цели по сокращению эмиссий. В модели из раздела выше такое ограничение задано величиной
. Подобный подход позволяет гарантировать экологический результат (маршруты не превысят установленный углеродный бюджет), тогда как минимизация без ограничения могла бы дать решение с чуть меньшими выбросами, но без уверенности в соблюдении какого-либо нормативного порога.
Во-вторых, данное решение ориентировано на практическую реализацию для курьерских служб Беларуси, учитывая их масштабы и особенности. В отличие от магистральных перевозок, курьерская доставка характеризуется сравнительно небольшими расстояниями, но высокой плотностью точек и строгими временными окнами (многие клиенты требуют доставку, например, строго в пределах рабочего дня или двухчасового интервала). Также курьерские автомобили в городах нередко сталкиваются с пробками, что увеличивает время в пути и косвенно влияет на выбросы (простой в заторах тоже сжигает топливо). Улучшенная модель может быть расширена на времязависимую:
и расход топлива
становятся функциями времени отправления. Такой подход используют, например, динамические алгоритмы Яндекса – они закладывают статистику дорожных заторов в оптимизацию маршрута [6]. Предлагается при возможности интегрировать в модель данные о средней загруженности дорог по часам суток для более точного расчёта времени и выбросов. Это приведёт к задаче маршрутизации с временными окнами на динамическом графе. Для её решения целесообразно применять гибридные методы: например, разделять задачу на две – сначала планировать последовательность точек для каждого курьера (комбинаторная часть), а затем оптимизировать расписание отправления с учётом скоростей на маршрутах (возможно, с помощью имитации или приближённого моделирования движения).
Ещё один аспект улучшения – учёт различных типов транспортных средств. Курьерские службы могут использовать разный транспорт: легковые автомобили, малотоннажные фургоны, грузовые велосипеды в центре города и т.д. У каждого типа – свой коэффициент выбросов
на км. Можно модифицировать ограничение по выбросам, суммируя эмиссию по каждому транспортному средству индивидуально. Более того, возникает задача оптимального выбора типа транспортного средства для маршрута. Например, часть доставок в пределах центра города можно поручить электровелосипедам или электромобилям (с нулевыми локальными выбросами), чтобы сберечь углеродный бюджет для дальних маршрутов на ДВС. Модель может быть расширена бинарными переменными, отражающими назначение типа транспорта на маршрут, и соответствующими поправками в ограничение по CO₂. Решение такой расширенной задачи требует значительно большего перебора, поэтому на практике рационально решить сначала задачу кластеризации заказов по зонам (городской центр – пригород и т.п.), а затем применить модель маршрутизации с заданным типом ТС в каждой зоне.
С точки зрения алгоритма решения, для заданной постановки был предложен следующий подход.
Сначала решаем релаксацию задачи без ограничения по CO₂ – то есть классическую VRPTW, минимизируя суммарный пробег. Это можно сделать средствами существующих библиотек (например, с помощью Google OR-Tools, которая умеет решать VRPTW при ограниченном числе заявок методом CP-SAT). Полученное решение либо удовлетворит ограничению по выбросам автоматически (если лимит
л изначально достаточно широк), либо нарушит его. В случае нарушения анализируется, какие маршруты дали наибольший вклад в выбросы – как правило, это самые длинные по расстоянию маршруты.
Далее выполняется перераспределение заказов с «перегруженных» маршрутов на другие, с тем чтобы сократить общий пробег. Этот этап можно осуществить эвристически: например, добавить новый маршрут (нового курьера) для части дальних точек, даже если изначально алгоритм минимизировал количество курьеров. Такой шаг может немного увеличить суммарный пробег (из-за не до конца наполненного нового маршрута), но снизит выбросы за счёт сокращения переездов на перегруженных маршрутах и более равномерного распределения дистанции. Фактически, здесь вводится многокритериальный компромисс: соглашаемся на чуть менее эффективное решение в плане пробега, чтобы соблюсти экологическое ограничение.
Далее скорректированное решение можно локально улучшать. Используется итеративный алгоритм: на каждом шаге проверяется, можно ли переставить какую-либо одну доставку с маршрута A на маршрут B так, чтобы и временные окна всех точек остались соблюдены, и суммарный пробег уменьшился, и при этом не нарушилось ограничение по CO₂. Для ускорения поиска применяются эвристики: например, алгоритм 2-opt (перестановка двух фрагментов маршрутов), Or-opt и прочие классические процедуры локальной оптимизации маршрутов [3]. На каждом шаге контроль лимита
осуществляем вычислением текущих суммарных выбросов (что быстро, так как просто пересчитывается суммарное расстояние). Алгоритм завершается, когда ни одну точку нельзя выгодно переместить без нарушения ограничений или когда достигнуто максимальное число итераций. Данный подход аналогичен реализации поиска с запретами или управляемого локального поиска (GUIDED LNS) и способен находить качественные решения за полиномиальное время даже на сотнях узлов [3].
Преимущество описанной стратегии – относительная простота реализации и возможность адаптации под реальные оперативные планы. Курьерская служба может интегрировать такой алгоритм в свой программный комплекс: сначала построить маршруты для всех заказов дня, затем проверить их «углеродный след», при необходимости перераспределить заказы или привлечь дополнительного курьера, и получить финальные маршруты, готовые к выдаче водителям. Если в ходе дня появляются новые заказы или происходят отклонения (задержки, отмены), система может перезапустить оптимизацию на оставшийся срок, чтобы перестроить оставшиеся маршруты, аналогично тому, как это делается при динамической доставке.
Стоит отметить, что предлагаемая улучшенная модель требует наличия достоверных данных о выбросах. В Беларуси компании пока только начинают вести подобный учёт в рамках новой экологической отчётности [8]. Для упрощения на первом этапе можно использовать усреднённые показатели: например, легковой автомобиль выбрасывает ~200 г CO₂ на 1 км, а фургон – ~300 г/км. Со временем, по мере накопления статистики, эти коэффициенты можно уточнить под конкретный автопарк (учитывая марку, год выпуска, топливо и т.п.). Кроме того, переход курьерских служб на гибридные или электрические автомобили напрямую отразится в модели: для электромобилей
(локально), и тогда ограничение по выбросам будет гораздо легче удовлетворить – возможно, отпадёт необходимость вводить лишние маршруты. Однако до массовой электрической доставки в РБ ещё несколько лет, поэтому оптимизация существующих маршрутов ДВС остаётся актуальной и значимой задачей.
Результаты исследования могут быть использованы курьерскими и логистическими компаниями для модернизации своих систем планирования. Внедрение описанных методов позволит не только экономить топливо и время (что важно экономически), но и демонстрировать соответствие современным эко-стандартам, снижая углеродный след доставки. В условиях усиления экологических требований со стороны государства и заказчиков это станет дополнительным конкурентным преимуществом. В дальнейшем планируется программная реализация предложенной модели и её испытание на реальных данных одной из курьерских служб Минска. Ожидается, что даже пилотная реализация на ограниченном наборе заказов покажет уменьшение пробега и выбросов не менее чем на 10–15% без снижения качества обслуживания клиентов.
Кроме того, возможны направления для дальнейших исследований: углублённый учёт неопределённости (например, колебаний времени в пути из-за трафика), включение в модель стохастических заказов (неизвестных заранее), а также разработка мультиобъективных оптимизационных алгоритмов, способных выдавать парето-оптимальные решения по двум критериям – минимальному времени доставки и минимальным выбросам. Это позволило бы менеджерам доставки гибко выбирать баланс между скоростью сервиса и экологичностью. Ещё одним перспективным шагом является интеграция предложенной маршрутизационной модели с общими планами по декарбонизации транспорта – например, определение, какую долю доставок перевести на электротранспорт, чтобы вписаться в годовой углеродный бюджет. Таким образом, исследования в области маршрутизации курьеров с временными окнами и ограничением CO₂ находятся на стыке математической оптимизации и экологического менеджмента и имеют большой потенциал для дальнейшего развития как в теории, так и в практике логистики.
Библиографический список
- Dantzig G.B., Ramser J.H. The Truck Dispatching Problem // Management Science. 1959. Vol. 6, no. 1. P. 80–91.
- Solomon M.M. Algorithms for the Vehicle Routing and Scheduling Problems with Time Window Constraints // Operations Research. 1987. Vol. 35, no. 2. P. 254–265.
- Cordeau J.-F., Desaulniers G., Desrosiers J., Solomon M., Soumis F. The VRP with Time Windows // The Vehicle Routing Problem / ed. by P. Toth, D. Vigo. Philadelphia: SIAM, 2002. P. 157–193.
- Баланс интересов экологии и экономики: зачем белорусским предприятиям учёт выбросов СО₂ // Новости Республики: сайт Свислочского райисполкома. URL: https://www.svisloch.gov.by/ru/republic-ru/view/balans-interesov-ekologii-i-ekonomiki-zachem-belorusskim-predprijatijam-uchet-vybrosov-so2-26659-2024/ (дата обращения: 14.10.2025).
- Доставка посылок наложенным платежом в Беларуси: лицензию имеют 18 курьерских компаний // INFOTRANS: транспортный портал. URL: https://infotrans.by/2024/09/18/dostavka-posylok-nalozhennym-platezhom-v-belarusi-liczenziyu-imeyut-18-kurerskih-kompanij/ (дата обращения: 14.10.2025).
- Оптимизация транспортных маршрутов сокращает выбросы CO₂ // Метеовести: сайт Центра ФОБОС. URL: https://www.meteovesti.ru/news/1664803650166-optimizaciya-transportnyh-marshrutov-sokrashchaet-vybrosy-co2 (дата обращения: 14.10.2025).
- Bektaş T., Laporte G. The Pollution-Routing Problem // Transportation Research Part B: Methodological. 2011. Vol. 45, no. 8. P. 1232–1250.
- Chen J., Zhang W., Miao L., Xue B. A variable neighborhood search approach for the multi-compartment VRP with time windows considering carbon emission // Journal of Cleaner Production. 2020. Vol. 277. Art. 123932.
